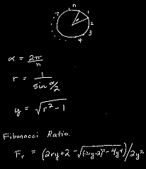
fibobgb.gif (3286 bytes)                 jotsbl.gif (3577 bytes)
fibobgb.gif (3286 bytes)     goldensquare      0   equiangu.gif (12567 bytes)
 sunflow3.gif (14080 bytes)